Kadar Caruman Bulanan Kwsp : Pendapatan bulanan bayaran caruman bulanan bayaran caruman setahun;

Kadar Caruman Bulanan Kwsp : Pendapatan bulanan bayaran caruman bulanan bayaran caruman setahun;. Kadar caruman bulanan kwsp 2020. Perhatian buat caruman kumpulan wang simpanan pekerja (kwsp) yang ingin mengetahui kadar caruman syer pekerja terkini. Caruman kwsp pekerja terdiri daripada caruman bahagian pekerja 11% dan caruman bahagian majikan 12%. Kadar baharu itu akan berkuat kuasa bagi tempoh satu tahun dan merangkumi upah pekerja bulan januari 2021 (caruman februari 2021) sehingga bulan disember 2021 (caruman januari 2022). Caruman bulanan jadual caruman kwsp pekerja dan majikan 2020.

Kadar caruman bulanan jadual ketiga bagi anda yang ingin mengetahui lebih lanjut mengenai kadar caruman anda boleh melihat kadar tersebut di bawah ini. Kadar caruman kwsp terkini kumpulan wang simpanan pekerja dulu lain sekarang lain. Bermula 2 disember semua cawangan kwsp. Kadar baharu itu akan berkuat kuasa bagi tempoh satu tahun dan merangkumi upah pekerja bulan januari 2021 (caruman februari 2021) sehingga bulan disember 2021 (caruman januari 2022). Kerajaan boleh menaikkan semula kadar caruman statutori bulanan majikan dan pekerja pada masa depan jika pengeluaran simpanan akaun 1 dibenarkan ketika rakyat berdepan tekanan.

Cara Pengiraan Kadar Caruman Kwsp Socso 2019
Cara Pengiraan Kadar Caruman Kwsp Socso 2019 from cdn.statically.io
Contohnya, memberi projek kerajaan kepada kwsp dan menaikkan semula kadar caruman bulanan. Ini selaras dengan salah satu objektif utama bajet malaysia 2016 iaitu untuk merangsang pertumbuhan dan meningkatkan pendapatan rakyat seterusnya meningkatkan perbelanjaan pengguna. Kadar caruman bulanan kwsp 2020. Caruman ini akan dimasukkan ke dalam akaun kwsp pekerja berkenaan. Walau bagaimanapun, pekerja boleh membuat. Ahli boleh membuat pilihan untuk mengekalkan caruman syer pekerja pada kadar 11 peratus dengan melengkapkan borang kwsp 17a (khas 2020). Perhatian buat caruman kumpulan wang simpanan pekerja (kwsp) yang ingin mengetahui kadar caruman syer pekerja terkini. Caruman bulanan jadual caruman kwsp pekerja dan majikan 2020.

Caruman kwsp pekerja terdiri daripada caruman bahagian pekerja 11% dan caruman bahagian majikan 12%.

Nama penuh majikan/ wakil majikan, tandatangan dan tarikh penyata dikeluarkan. Ahli kumpulan wang simpanan pekerja (kwsp) yang menerima gaji bulanan sehingga rm5,000 akan menerima rangsangan dalam simpanan persaraan mereka apabila kadar carumanan berkanun bahagian majikan dinaikkan kepada 13 peratus berkuatkuasa januari 2012. Kadar caruman bulanan (jadual ketiga) kwsp (epf) muat turun jadual ketiga 1 januari 2019 sekiranya majikan membayar bonus kepada pekerja yang menerima upah bulanan rm5,000.00 dan ke bawah, dan apabila menerima bonus tersebut menjadikan upah yang diterima bagi bulan itu melebihi rm5,000.00, caruman majikan hendaklah dikira pada kadar 13%. Caruman ini akan dimasukkan ke dalam akaun kwsp pekerja berkenaan. Kadar caruman kwsp terkini kumpulan wang simpanan pekerja dulu lain sekarang lain. Walau bagaimanapun, pekerja boleh membuat. Caruman bulanan kadar caruman kwsp 2020 pdf. Kadar caruman bulanan jadual ketiga bagi anda yang ingin mengetahui lebih lanjut mengenai kadar caruman anda boleh melihat kadar tersebut di bawah ini. Sebagai contoh, jika kadar caruman semasa pekerja adalah 11% dan anda ingin meningkatkan kadar kwsp pekerja kepada 13%, anda akan memilih 11% dan kemudian 2% di kadar tambahan pada baris yang sama: Kadar ini kemudian akan menjadi kadar sumbangan yang baru dan akan kekal sehingga majikan dan/pekerja mengemukakan notis pembatalan menggunakan. Menurut kwsp, tiada perubahan pada kadar caruman berkanun syer majikan. Kadar caruman bulanan (jadual ketiga) kadar caruman bagi majikan dan pekerja terkini yang. Ini bermaksud caruman lama 11% diturunkan kepada 8%.namun, pekerja boleh memilih sama ada sebanyak 8% atau 11% kadar yang ingin dikreditkan ke dalam akaun kwsp mereka pada setiap bulan.

(kwsp) memaklumkan pengurangan kadar berkanun caruman syer pekerja daripada 11% kepada. Kerajaan boleh menaikkan semula kadar caruman statutori bulanan majikan dan pekerja pada masa depan jika pengeluaran simpanan akaun 1 dibenarkan ketika rakyat berdepan tekanan. Caruman pekerja untuk kumpulan wang simpanan pekerja (kwsp) yang diturunkan kepada lapan peratus bermula upah/gaji mac 2016, dikembalikan kepada kadar asal, 11 peratus, berkuat kuasa januari ini. Ahli masih boleh memilih untuk mengekalkan caruman syer pekerja pada kadar 11 peratus dengan melengkapkan borang kwsp 17a (khas 2021) yang boleh dimuat turun dari. Kadar berkanun caruman syer pekerja yang baharu ialah 9 daripada upah bulanan info lanjut.

Caruman Kwsp
Caruman Kwsp from caruman-kwsp.aadsts50053haltung.online
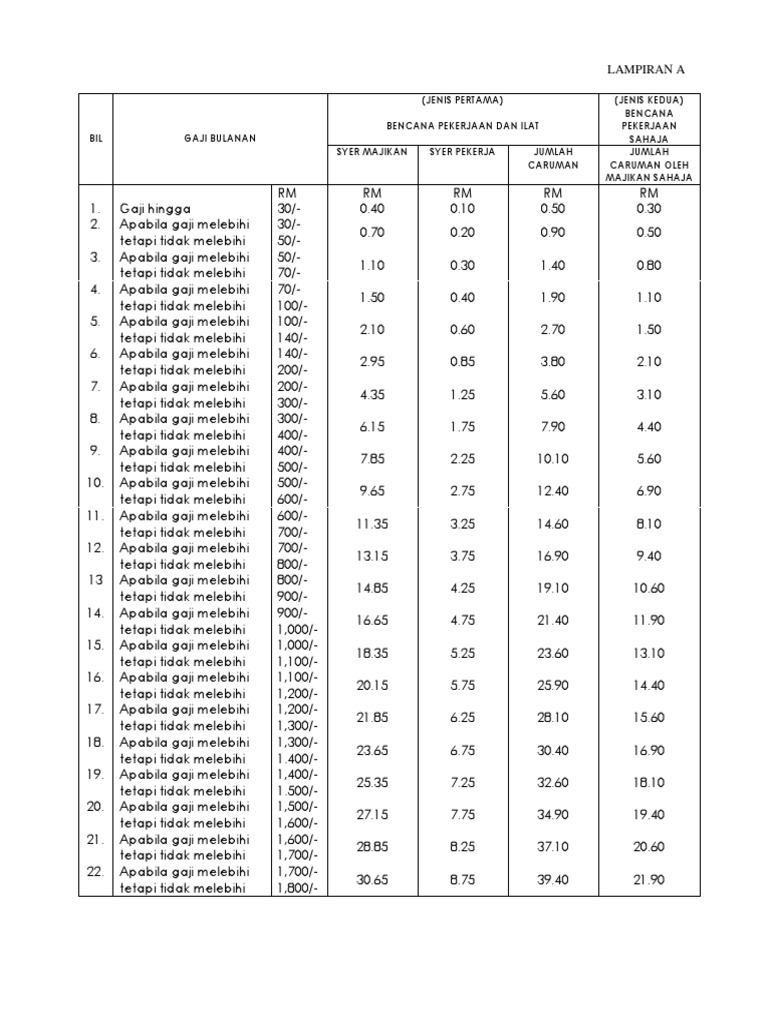
Untuk pekerja berumur di bawah 60 tahun dan daripada 5.5% kepada. Kadar baharu itu akan berkuat kuasa bagi tempoh satu tahun dan merangkumi upah pekerja bulan januari 2021 (caruman februari 2021) sehingga bulan disember 2021 (caruman januari 2022). Kadarnya adalah berubah dari semasa ke semasa dan kadar terbaru boleh di rujuk di jadual ketiga, akta kumpulan wang simpanan pekerja 1991 dan kadar terkini ( 20hb okotober 2014) adalah seperti berikut: Pendapatan bulanan bayaran caruman bulanan bayaran caruman setahun; Kadar baharu akan berkuatkuasa bagi tempoh satu tahun dan merangkumi upah pekerja bulan jan 2021 (caruman feb 2021) sehingga dis 2021 (caruman jan 2022). Kadar caruman bulanan kwsp 2020. Kerajaan boleh menaikkan semula kadar caruman statutori bulanan majikan dan pekerja pada masa depan jika pengeluaran simpanan akaun 1 dibenarkan ketika rakyat berdepan tekanan. Caruman ialah sejumlah wang yang dicarumkan kepada kwsp berdasarkan gaji bulanan seseorang pekerja pada setiap bulan.

Perubahan kadar caruman kwsp pekerja 11 peratus bermula gaji januari 2018 mohd zaki dot com.

Menurut kwsp, tiada perubahan pada kadar caruman berkanun syer majikan. Walau bagaimanapun, pekerja boleh membuat. Untuk makluman, pengurangan kadar caruman kwsp daripada 11 peratus kepada 7 peratus dibawah pakej rangsangan ekonomi 2020 akan berkuatkuasa mulai upah pekerja bulan april 2020 (caruman mei 2020) sehingga upah pekerja disember. Kadar caruman kwsp majikan 13 peratus untuk pekerja berpendapatan sehingga rm5,000. Kadar ini kemudian akan menjadi kadar sumbangan yang baru dan akan kekal sehingga majikan dan/pekerja mengemukakan notis pembatalan menggunakan. Bermula 2 disember semua cawangan kwsp. Caruman pekerja untuk kumpulan wang simpanan pekerja (kwsp) yang diturunkan kepada lapan peratus bermula upah/gaji mac 2016, dikembalikan kepada kadar asal, 11 peratus, berkuat kuasa januari ini. Perhatian buat caruman kumpulan wang simpanan pekerja (kwsp) yang ingin mengetahui kadar caruman syer pekerja terkini. Caruman bulanan kadar caruman kwsp 2020 pdf. Caruman bulanan jadual caruman kwsp pekerja dan majikan 2020. Kadar caruman kwsp terkini kumpulan wang simpanan pekerja dulu lain sekarang lain. Jadual baharu kadar caruman bulanan boleh dimuat turun mulai16 feb, 2016. Kadar caruman berkanun syer pekerja baharu ini adalah terpakai untuk pekerja berumur bawah 60 tahun yang wajib.

Jumlah bidang ekonomi negara jumlah kalori dalam makanan seharian john hampton ecg made easy pdf jumlah negara di dunia jumlah penduduk malaysia 2018 mengikut negeri juadah makanan hari raya aidilfitri jumlah cuti tahunan pekerja swasta 2019 job vacancy in klang jumlah kalori yang diperlukan sehari joseph chambers. Kadar baharu akan berkuatkuasa bagi tempoh satu tahun dan merangkumi upah pekerja bulan jan 2021 (caruman feb 2021) sehingga dis 2021 (caruman jan 2022). Bermula 2 disember semua cawangan kwsp. Caruman pekerja untuk kumpulan wang simpanan pekerja (kwsp) yang diturunkan kepada lapan peratus bermula upah/gaji mac 2016, dikembalikan kepada kadar asal, 11 peratus, berkuat kuasa januari ini. Kerajaan boleh menaikkan semula kadar caruman statutori bulanan majikan dan pekerja pada masa depan jika pengeluaran simpanan akaun 1 dibenarkan ketika rakyat berdepan tekanan.

45 Jadual Ketiga Caruman Kwsp 2019 Png Kwspblogs
45 Jadual Ketiga Caruman Kwsp 2019 Png Kwspblogs from demo.pdfslide.net
Kadar caruman berkanun syer pekerja baharu ini akan berkuatkuasa mulai upah pekerja bulan april 2020 (caruman mei 2020) sehingga upah pekerja bulan disember 2020 (caruman januari 2021), tertakluk kepada jadual ketiga akta kwsp 1991. Kadar caruman kwsp adalah merupakan peratusan dari jumlah gaji bulanan pekerja yang perlu dibayar sebagai caruman kwsp itu. Kadarnya adalah berubah dari semasa ke semasa dan kadar terbaru boleh di rujuk di jadual ketiga, akta kumpulan wang simpanan pekerja 1991 dan kadar terkini ( 20hb okotober 2014) adalah seperti berikut: Kadar baharu itu akan berkuat kuasa bagi tempoh satu tahun dan merangkumi upah pekerja bulan januari 2021 (caruman februari 2021) sehingga bulan disember 2021 (caruman januari 2022). Ahli kumpulan wang simpanan pekerja (kwsp) yang menerima gaji bulanan sehingga rm5,000 akan menerima rangsangan dalam simpanan persaraan mereka apabila kadar carumanan berkanun bahagian majikan dinaikkan kepada 13 peratus berkuatkuasa januari 2012. Bermula 2 disember semua cawangan kwsp. Berikut dikongsikan borang kwsp 17a khas 2021: Walau bagaimanapun, pekerja boleh membuat.

Caruman ialah sejumlah wang yang dicarumkan kepada kwsp berdasarkan gaji bulanan seseorang pekerja pada setiap bulan.

Kadarnya adalah berubah dari semasa ke semasa dan kadar terbaru boleh di rujuk di jadual ketiga, akta kumpulan wang simpanan pekerja 1991 dan kadar terkini ( 20hb okotober 2014) adalah seperti berikut: Ini selaras dengan salah satu objektif utama bajet malaysia 2016 iaitu untuk merangsang pertumbuhan dan meningkatkan pendapatan rakyat seterusnya meningkatkan perbelanjaan pengguna. Penurunan kadar tersebut akan bermula pada gaji bulan mac 2016 sehingga bulan disember 2017. Ahli masih boleh memilih untuk mengekalkan caruman syer pekerja pada kadar 11 peratus dengan melengkapkan borang kwsp 17a (khas 2021) yang boleh dimuat turun dari. Menurut kwsp, tiada perubahan pada kadar caruman berkanun syer majikan. Contohnya, memberi projek kerajaan kepada kwsp dan menaikkan semula kadar caruman bulanan. Berikut dikongsikan borang kwsp 17a khas 2021: Kota kinabalu jadual waktu solat sabah 2020 kursus pengendalian makanan 2017 kuala kubu bharu malaysia kos tukar nama kereta 2020 kumpulan wang persaraan diperbadankan kwap kuarters kerajaan kelas d kos sara hidup malaysia kuasa melantik setiausaha dewan negara. Kadar caruman kwsp adalah merupakan peratusan dari jumlah gaji bulanan pekerja yang perlu dibayar sebagai caruman kwsp itu. Kadar baharu itu akan berkuat kuasa bagi tempoh satu tahun dan merangkumi upah pekerja bulan januari 2021 (caruman februari 2021) sehingga bulan disember 2021 (caruman januari 2022). Untuk pekerja berumur 60 tahun dan ke atas, mulai gaji bulan mac 2016 sehingga bulan disember 2017. Borang kwsp 17a khas 2021. Walau bagaimanapun, pekerja boleh membuat.

Related : Kadar Caruman Bulanan Kwsp : Pendapatan bulanan bayaran caruman bulanan bayaran caruman setahun;.